Soal Pkn Kelas 8 | Berita Bontang

Soal Pkn Kelas 8

Soal Pkn Kelas 8. Latihan soal ppkn kelas 8 bab 1 memahami kedudukan dan fungsi pancasila. Latihan soal uas pas pkn kelas 8 smp semester 1 dan kunci jawaban.

Contoh Soal Pkn Kelas 8 Semester 2 Kurikulum 2013 Contoh Soal Terbaru
Contoh Soal Pkn Kelas 8 Semester 2 Kurikulum 2013 Contoh Soal Terbaru from imgv2-1-f.scribdassets.com
Ami alhasani follow jika menginginkan dunia raihlah dengan ilmu, jika menginginkan akhirat raihlah dengan ilmu, jika ingin keduanya raihlah dengan ilmu. Melalui kegiatan ulangan akhir semester (uas) atau penilaian akhir semester (pas) semester ganjil guru dapat mengevaluasi peserta didik/ siswa dalam pencapaian nilai. Savesave latihan soal pkn kelas 8 semester 1 for later.

Setelah mengerjakan latihan soal tersebut, kerjakanlah lembar kerja cari kata online ppkn kelas 8 bab 1 memahami kedudukan dan fungsi pancasila.

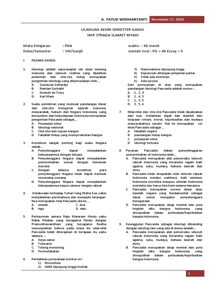
Download as docx, pdf, txt or read online from scribd. Soal penilaian akhir semester uas 1 pkn kelas 8 smp mts k13 berbentuk pilihan ganda dengan empat alternatif jawaban. Latihan soal ini terbagi dua bagian yakni soal pilihan ganda dan essay. Berikut ini contoh soal dan jawaban latihan pat (ukk) pkn ppkn smp/mts kurikulum 2013.


Subscribe to receive free email updates:

0 Response to "Soal Pkn Kelas 8"

Posting Komentar